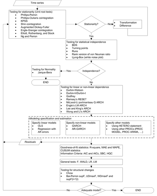
The modeling process consists of four stages: identification, specification, estimation, and diagnostic checking (Cromwell, Labys, and Terraza 1994). The AUTOREG procedure supports tens of statistical tests for identification and diagnostic checking. Figure 17 illustrates how to incorporate these statistical tests into the modeling process.
Figure 17: Statistical Tests in the AUTOREG Procedure

Most of the theories of time series require stationarity; therefore, it is critical to determine whether a time series is stationary. Two nonstationary time series are fractionally integrated time series and autoregressive series with random coefficients. However, more often some time series are nonstationary due to an upward trend over time. The trend can be captured by either of the following two models.
The difference stationary process
where L is the lag operator, , and
is a white noise sequence with mean zero and variance
. Hamilton (1994) also refers to this model the unit root process.
The trend stationary process
When a process has a unit root, it is said to be integrated of order one or I(1). An I(1) process is stationary after differencing once. The trend stationary process and difference stationary process require different treatment to transform the process into stationary one for analysis. Therefore, it is important to distinguish the two processes. Bhargava (1986) nested the two processes into the following general model:
However, a difficulty is that the right-hand side is nonlinear in the parameters. Therefore, it is convenient to use a different parameterization:
The test of null hypothesis that against the one-sided alternative of
is called a unit root test.
Dickey-Fuller unit root tests are based on regression models similar to the previous model,
where is assumed to be white noise. The t statistic of the coefficient
does not follow the normal distribution asymptotically. Instead, its distribution can be derived using the functional central limit theorem. Three types of regression models including the preceding one are considered by the Dickey-Fuller test. The deterministic terms that are included in the other two types of regressions are either null or constant only.
An assumption in the Dickey-Fuller unit root test is that it requires the errors in the autoregressive model to be white noise, which is often not true. There are two popular ways to account for general serial correlation between the errors. One is the augmented Dickey-Fuller (ADF) test, which uses the lagged difference in the regression model. This was originally proposed by Dickey and Fuller (1979) and later studied by Said and Dickey (1984) and Phillips and Perron (1988). Another method is proposed by Phillips and Perron (1988); it is called Phillips-Perron (PP) test. The tests adopt the original Dickey-Fuller regression with intercept, but modify the test statistics to take account of the serial correlation and heteroscedasticity. It is called nonparametric because no specific form of the serial correlation of the errors is assumed.
A problem of the augmented Dickey-Fuller and Phillips-Perron unit root tests is that they are subject to size distortion and low power. It is reported in Schwert (1989) that the size distortion is significant when the series contains a large moving average (MA) parameter. DeJong et al. (1992) find that the ADF has power around one third and PP test has power less than 0.1 against the trend stationary alternative, in some common settings. Among some more recent unit root tests that improve upon the size distortion and the low power are the tests described by Elliott, Rothenberg, and Stock (1996) and Ng and Perron (2001). These tests involve a step of detrending before constructing the test statistics and are demonstrated to perform better than the traditional ADF and PP tests.
Most testing procedures specify the unit root processes as the null hypothesis. Tests of the null hypothesis of stationarity have also been studied, among which Kwiatkowski et al. (1992) is very popular.
Economic theories often dictate that a group of economic time series are linked together by some long-run equilibrium relationship. Statistically, this phenomenon can be modeled by cointegration. When several nonstationary processes are cointegrated, there exists a
cointegrating vector
such that
is stationary and
is a nonzero vector. One way to test the relationship of cointegration is the residual based cointegration test, which assumes the regression model
where ,
, and
. The OLS residuals from the regression model are used to test for the null hypothesis of no cointegration. Engle and Granger (1987) suggest using ADF on the residuals while Phillips and Ouliaris (1990) study the tests using PP and other related test statistics.
Common unit root tests have the null hypothesis that there is an autoregressive unit root , and the alternative is
, where
is the autoregressive coefficient of the time series
This is referred to as the zero mean model. The standard Dickey-Fuller (DF) test assumes that errors are white noise. There are two other types of regression models that include a constant or a time trend as follows:
These two models are referred to as the constant mean model and the trend model, respectively. The constant mean model includes a constant mean of the time series. However, the interpretation of
depends on the stationarity in the following sense: the mean in the stationary case when
is the trend in the integrated case when
. Therefore, the null hypothesis should be the joint hypothesis that
and
. However, for the unit root tests, the test statistics are concerned with the null hypothesis of
. The joint null hypothesis is not commonly used. This issue is addressed in Bhargava (1986) with a different nesting model.
There are two types of test statistics. The conventional t ratio is
and the second test statistic, called -test, is
For the zero mean model, the asymptotic distributions of the Dickey-Fuller test statistics are
For the constant mean model, the asymptotic distributions are
For the trend model, the asymptotic distributions are
where
One problem of the Dickey-Fuller and similar tests that employ three types of regressions is the difficulty in the specification of the deterministic trends. Campbell and Perron (1991) claimed that "the proper handling of deterministic trends is a vital prerequisite for dealing with unit roots." However, the "proper handling" is not obvious since the distribution theory of the relevant statistics about the deterministic trends is not available. Hayashi (2000) suggests using the constant mean model when you think there is no trend, and using the trend model when you think otherwise. However, no formal procedure is provided.
The null hypothesis of the Dickey-Fuller test is a random walk, possibly with drift. The differenced process is not serially correlated under the null of I(1). There is a great need for the generalization of this specification. The augmented Dickey-Fuller (ADF) test, originally proposed in Dickey and Fuller (1979), adjusts for the serial correlation in the time series by adding lagged first differences to the autoregressive model,
where the deterministic terms and
can be absent for the models without drift or linear trend. As previously, there are two types of test statistics. One is the OLS t value
and the other is given by
The asymptotic distributions of the test statistics are the same as those of the standard Dickey-Fuller test statistics.
Nonstationary multivariate time series can be tested for cointegration, which means that a linear combination of these time series is stationary. Formally, denote the series by . The null hypothesis of cointegration is that there exists a vector
such that
is stationary. Residual-based cointegration tests were studied in Engle and Granger (1987) and Phillips and Ouliaris (1990). The latter are described in the next subsection. The first step regression is
where ,
, and
. This regression can also include an intercept or an intercept with a linear trend. The residuals are used to test for the existence of an autoregressive unit root. Engle and Granger (1987) proposed augmented Dickey-Fuller type regression without an intercept on the residuals to test the unit root. When the first step OLS does not include an intercept, the asymptotic distribution of the ADF test statistic
is given by
where is a k vector standard Brownian motion and
is a partition such that is a scalar and
is
dimensional. The asymptotic distributions of the test statistics in the other two cases have the same form as the preceding formula. If the first step regression includes an intercept, then
is replaced by the de-meaned Brownian motion
. If the first step regression includes a time trend, then
is replaced by the detrended Brownian motion. The critical values of the asymptotic distributions are tabulated in Phillips and Ouliaris (1990) and MacKinnon (1991).
The residual based cointegration tests have a major shortcoming. Different choices of the dependent variable in the first step OLS might produce contradictory results. This can be explained theoretically. If the dependent variable is in the cointegration relationship, then the test is consistent against the alternative that there is cointegration. On the other hand, if the dependent variable is not in the cointegration system, the OLS residual do not converge to a stationary process. Changing the dependent variable is more likely to produce conflicting results in finite samples.
Besides the ADF test, there is another popular unit root test that is valid under general serial correlation and heteroscedasticity, developed by Phillips (1987) and Phillips and Perron (1988). The tests are constructed using the AR(1) type regressions, unlike ADF tests, with corrected estimation of the long run variance of . In the case without intercept, consider the driftless random walk process
where the disturbances might be serially correlated with possible heteroscedasticity. Phillips and Perron (1988) proposed the unit root test of the OLS regression model,
Denote the OLS residual by . The asymptotic variance of
can be estimated by using the truncation lag l,
where ,
for
, and
. This is a consistent estimator suggested by Newey and West (1987).
The variance of can be estimated by
. Let
be the variance estimate of the OLS estimator
. Then the Phillips-Perron
test (zero mean case) is written
The statistic is just the ordinary Dickey-Fuller
statistic with a correction term that accounts for the serial correlation. The correction term goes to zero asymptotically if there is no serial correlation.
Note that as
, which shows that the limiting distribution is skewed to the left.
Let be the
statistic for
. The Phillips-Perron
(defined here as
) test is written
To incorporate a constant intercept, the regression model is used (single mean case) and null hypothesis the series is a driftless random walk with nonzero unconditional mean. To incorporate a time trend, the regression model
is used, and under the null the series is a random walk with drift.
The limiting distributions of the test statistics for the zero mean case are
where B() is a standard Brownian motion.
The limiting distributions of the test statistics for the intercept case are
Finally, the limiting distributions of the test statistics for the trend case are can be derived as
The finite sample performance of the PP test is not satisfactory (see Hayashi 2000).
When several variables are cointegrated, there exists a
cointegrating vector
such that
is stationary and
is a nonzero vector. The residual based cointegration test assumes the following regression model,
where ,
, and
. You can estimate the consistent cointegrating vector by using OLS if all variables are difference stationary—that is, I(1). The estimated cointegrating vector is
. The Phillips-Ouliaris test is computed using the OLS residuals from the preceding regression model, and it uses the PP unit root tests
and
developed in Phillips (1987), although in Phillips and Ouliaris (1990) the asymptotic distributions of some other leading unit root tests are also derived. The null hypothesis is no cointegration.
You need to refer to the tables by Phillips and Ouliaris (1990) to obtain the p-value of the cointegration test. Before you apply the cointegration test, you might want to perform the unit root test for each variable (see the option STATIONARITY=).
As in the Engle-Granger cointegration tests, the Phillips-Ouliaris test can give conflicting results for different choices of the regressand. There are other cointegration tests that are invariant to the order of the variables, including Johansen (1988), Johansen (1991), Stock and Watson (1988).
As mentioned earlier, ADF and PP both suffer severe size distortion and low power. There is a class of newer tests that improve both size and power. These are sometimes called efficient unit root tests, and among them tests by Elliott, Rothenberg, and Stock (1996) and Ng and Perron (2001) are prominent.
Elliott, Rothenberg, and Stock (1996) consider the data generating process
where is either
or
and
is an unobserved stationary zero-mean process with positive spectral density at zero frequency. The null hypothesis is
, and the alternative is
. The key idea of Elliott, Rothenberg, and Stock (1996) is to study the asymptotic power and asymptotic power envelope of some new tests. Asymptotic power is defined with a sequence of local alternatives. For a fixed alternative hypothesis, the power of a test usually goes to one when sample size goes to infinity; however, this says nothing about the finite sample performance. On the other hand, when the data generating process under the alternative moves closer to the null hypothesis as the sample size increases, the power does not necessarily converge to one. The local-to-unity alternatives in ERS are
and the power against the local alternatives has a limit as T goes to infinity, which is called asymptotic power. This value is strictly between 0 and 1. Asymptotic power indicates the adequacy of a test to distinguish small deviations from the null hypothesis.
Define
Let be the sum of squared residuals from a least squares regression of
on
. Then the point optimal test against the local alternative
has the form
where is an estimator for
. The autoregressive (AR) estimator is used for
(Elliott, Rothenberg, and Stock 1996, equations 13 and 14),
where and
are OLS estimates from the regression
where p is selected according to the Schwarz Bayesian information criterion. The test rejects the null when is small. The asymptotic power function for the point optimal test that is constructed with
under local alternatives with c is denoted by
. Then the power envelope is
because the test formed with
is the most powerful against the alternative
. In other words, the asymptotic function
is always below the power envelope
except that at one point,
, they are tangent. Elliott, Rothenberg, and Stock (1996) show that choosing some specific values for
can cause the asymptotic power function
of the point optimal test to be very close to the power envelope. The optimal
is
when
, and
when
. This choice of
corresponds to the tangent point where
. This is also true of the DF-GLS test.
Elliott, Rothenberg, and Stock (1996) also propose the DF-GLS test, given by the t statistic for testing in the regression
where is obtained in a first step detrending
and is least squares regression coefficient of
on
. Regarding the lag length selection, Elliott, Rothenberg, and Stock (1996) favor the Schwarz Bayesian information criterion. The optimal selection of the lag length p and the estimation of
is further discussed in Ng and Perron (2001). The lag length is selected from the interval
for some fixed
by using the modified Akaike’s information criterion,
where and
. For fixed lag length p, an estimate of
is given by
DF-GLS is indeed a superior unit root test, according to Stock (1994), Schwert (1989), and Elliott, Rothenberg, and Stock (1996). In terms of the size of the test, DF-GLS is almost as good as the ADF t test and better than the PP
and
test. In addition, the power of the DF-GLS test is greater than that of both the ADF t test and the
-test.
Ng and Perron (2001) also apply GLS detrending to obtain the following M-tests:
The first one is a modified version of the Phillips-Perron test,
where the detrended data is used. The second is a modified Bhargava (1986)
test statistic. The third can be perceived as a modified Phillips-Perron
statistic because of the relationship
.
The modified point optimal tests that use the GLS detrended data are
The DF-GLS test and the test have the same limiting distribution:
The point optimal test and the modified point optimal test have the same limiting distribution,
where is a standard Brownian motion and
is an Ornstein-Uhlenbeck process defined by
with
,
, and
.
Overall, the M-tests have the smallest size distortion, with the ADF t test having the next smallest. The ADF -test,
, and
have the largest size distortion. In addition, the power of the DF-GLS and M-tests is greater than that of the ADF t test and
-test. The ADF
has more severe size distortion than the ADF
, but it has more power for a fixed lag length.
There are fewer tests available for the null hypothesis of trend stationarity I(0). The main reason is the difficulty of theoretical development. The KPSS test was introduced in Kwiatkowski et al. (1992) to test the null hypothesis that an observable series is stationary around a deterministic trend. For consistency, the notation used here differs from the notation in the original paper. The setup of the problem is as follows: it is assumed that the series is expressed as the sum of the deterministic trend, random walk , and stationary error
; that is,
where iid
, and an intercept
(in the original paper, the authors use
instead of
; here it is assumed that
.) The null hypothesis of trend stationarity is specified by
, while the null of level stationarity is the same as above with the model restriction
. Under the alternative that
, there is a random walk component in the observed series
.
Under stronger assumptions of normality and iid of and
, a one-sided LM test of the null that there is no random walk (
) can be constructed as follows:
Under the null hypothesis, can be estimated by ordinary least squares regression of
on an intercept and the time trend. Following the original work of Kwiatkowski et al. (1992), under the null (
), the
statistic converges asymptotically to three different distributions depending on whether the model is trend-stationary, level-stationary (
), or zero-mean stationary (
,
). The trend-stationary model is denoted by subscript
and the level-stationary model is denoted by subscript
. The case when there is no trend and zero intercept is denoted as 0. The last case, although rarely used in practice, is considered in Hobijn, Franses, and Ooms (2004),
with
where is a Brownian motion (Wiener process) and
is convergence in distribution.
is a standard Brownian bridge, and
is a second-level Brownian bridge.
Using the notation of Kwiatkowski et al. (1992), the statistic is named as
. This test depends on the computational method used to compute the long-run variance
; that is, the window width l and the kernel type
. You can specify the kernel used in the test by using the KERNEL option:
You can specify the number of lags, l, in three different ways:
Schwert (SCHW = c) (default for NW, c=12)
manual (LAG = l)
automatic selection (AUTO) (default for QS), from Hobijn, Franses, and Ooms (2004). The number of lags, l, is calculated as in the following table:
Simulation evidence shows that the KPSS has size distortion in finite samples. For an example, see Caner and Kilian (2001). The power is reduced when the sample size is large; this can be derived theoretically (see Breitung 1995). Another problem of the KPSS test is that the power depends on the truncation lag used in the Newey-West estimator of the long-run variance .
Shin (1994) extends the KPSS test to incorporate the regressors to be a cointegration test. The cointegrating regression becomes
where and
are scalar and m-vector
variables. There are still three cases of cointegrating regressions: without intercept and trend, with intercept only, and with intercept and trend. The null hypothesis of the cointegration test is the same as that for the KPSS test,
. The test statistics for cointegration in the three cases of cointegrating regressions are exactly the same as those in the KPSS test; these test statistics are then ignored here. Under the null hypothesis, the statistics converge asymptotically to three different distributions,
with
where and
are independent scalar and m-vector standard Brownian motion, and
is convergence in distribution.
is a standard Brownian bridge,
is a Brownian bridge of a second-level,
is an m-vector standard de-meaned Brownian motion, and
is an m-vector standard de-meaned and detrended Brownian motion.
The p-values that are reported for the KPSS test and Shin test are calculated via a Monte Carlo simulation of the limiting distributions, using a sample size of 2,000 and 1,000,000 replications.
Independence tests are widely used in model selection, residual analysis, and model diagnostics because models are usually based on the assumption of independently distributed errors. If a given time series (for example, a series of residuals) is independent, then no deterministic model is necessary for this completely random process; otherwise, there must exist some relationship in the series to be addressed. In the following section, four independence tests are introduced: the BDS test, the runs test, the turning point test, and the rank version of von Neumann ratio test.
Brock, Dechert, and Scheinkman (1987) propose a test (BDS test) of independence based on the correlation dimension. Brock et al. (1996) show that the first-order asymptotic distribution of the test statistic is independent of the estimation error provided that the parameters of the model under test can be estimated -consistently. Hence, the BDS test can be used as a model selection tool and as a specification test.
Given the sample size T, the embedding dimension m, and the value of the radius r, the BDS statistic is
where
The statistic has a standard normal distribution if the sample size is large enough. For small sample size, the distribution can be approximately obtained through simulation. Kanzler (1999) has a comprehensive discussion on the implementation and empirical performance of BDS test.
The runs test and turning point test are two widely used tests for independence (Cromwell, Labys, and Terraza 1994).
The runs test needs several steps. First, convert the original time series into the sequence of signs, , that is, map
into
where
is the sample mean of
and
is "
" if x is nonnegative and "
" if x is negative. Second, count the number of runs, R, in the sequence. A run of a sequence is a maximal non-empty segment of the sequence that consists of adjacent equal elements. For example, the following sequence contains
runs:
Third, count the number of pluses and minuses in the sequence and denote them as and
, respectively. In the preceding example sequence,
and
. Note that the sample size
. Finally, compute the statistic of runs test,
where
The statistic of the turning point test is defined as
where the indicator function of the turning point is 1 if
or
(that is, both the previous and next values are greater or less than the current value); otherwise, 0.
The statistics of both the runs test and the turning point test have the standard normal distribution under the null hypothesis of independence.
Because the runs test completely ignores the magnitudes of the observations, Bartels (1982) proposes a rank version of the von Neumann ratio test for independence,
where is the rank of tth observation in the sequence of T observations. For large samples, the statistic follows the standard normal distribution under the null hypothesis of independence. For small samples of size between 11 and 100, the critical values that have been simulated would be more precise. For samples of size less than or equal to 10, the exact CDF of the statistic is available. Hence, the VNRRANK=(PVALUE=SIM) option is recommended for small samples whose size is no more than 100, although it might take longer to obtain the p-value than if you use the VNRRANK=(PVALUE=DIST) option.
Based on skewness and kurtosis, Jarque and Bera (1980) calculated the test statistic
where
The (2) distribution gives an approximation to the normality test
.
When the GARCH model is estimated, the normality test is obtained using the standardized residuals . The normality test can be used to detect misspecification of the family of ARCH models.
Consider the linear regression model
where is an
data matrix,
is a
coefficient vector, and
is an
disturbance vector. The error term
is assumed to be generated by the jth-order autoregressive process
where
,
is a sequence of independent normal error terms with mean 0 and variance
. Usually, the Durbin-Watson statistic is used to test the null hypothesis
against
. Vinod (1973) generalized the Durbin-Watson statistic,
where are OLS residuals. Using the matrix notation,
and there are zeros between
and 1 in each row of matrix
.
The QR factorization of the design matrix yields an
orthogonal matrix
,
where R is an upper triangular matrix. There exists an
submatrix of
such that
and
. Consequently, the generalized Durbin-Watson statistic is stated as a ratio of two quadratic forms,
where are upper n eigenvalues of
and
is a standard normal variate, and
. These eigenvalues are obtained by a singular value decomposition of
(Golub and Van Loan 1989; Savin and White 1978).
The marginal probability (or p-value) for given
is
where
When the null hypothesis holds, the quadratic form
has the characteristic function
The distribution function is uniquely determined by this characteristic function:
For example, to test given
against
, the marginal probability (p-value) can be used,
where
and is the calculated value of the fourth-order Durbin-Watson statistic.
In the Durbin-Watson test, the marginal probability indicates positive autocorrelation () if it is less than the level of significance (
), while you can conclude that a negative autocorrelation (
) exists if the marginal probability based on the computed Durbin-Watson statistic is greater than
. Wallis (1972) presented tables for bounds tests of fourth-order autocorrelation, and Vinod (1973) has given tables for a 5% significance level for orders two to four. Using the AUTOREG procedure, you can calculate the exact p-values for the general order of Durbin-Watson test statistics. Tests for the absence of autocorrelation of order p can be performed sequentially; at the jth step, test
given
against
. However, the size of the sequential test is not known.
The Durbin-Watson statistic is computed from the OLS residuals, while that of the autoregressive error model uses residuals that are the difference between the predicted values and the actual values. When you use the Durbin-Watson test from the residuals of the autoregressive error model, you must be aware that this test is only an approximation. See the section Autoregressive Error Model. If there are missing values, the Durbin-Watson statistic is computed using all the nonmissing values and ignoring the gaps caused by missing residuals. This does not affect the significance level of the resulting test, although the power of the test against certain alternatives may be adversely affected. Savin and White (1978) have examined the use of the Durbin-Watson statistic with missing values.
The Durbin-Watson probability calculations have been enhanced to compute the p-value of the generalized Durbin-Watson statistic for large sample sizes. Previously, the Durbin-Watson probabilities were only calculated for small sample sizes.
Consider the linear regression model
where is an
data matrix,
is a
coefficient vector,
is an
disturbance vector, and
is a sequence of independent normal error terms with mean 0 and variance
.
The generalized Durbin-Watson statistic is written as
where is a vector of OLS residuals and
is a
matrix. The generalized Durbin-Watson statistic DW
can be rewritten as
The marginal probability for the Durbin-Watson statistic is
The p-value or the marginal probability for the generalized Durbin-Watson statistic is computed by numerical inversion of the characteristic function of the quadratic form
. The trapezoidal rule approximation to the marginal probability
is
where is the imaginary part of the characteristic function,
and
are integration and truncation errors, respectively. For numerical inversion of the characteristic function, see Davies (1973).
Ansley, Kohn, and Shively (1992) proposed a numerically efficient algorithm that requires O(N) operations for evaluation of the characteristic function . The characteristic function is denoted as
where and
. By applying the Cholesky decomposition to the complex matrix
, you can obtain the lower triangular matrix
that satisfies
. Therefore, the characteristic function can be evaluated in O(N) operations by using the formula
where . For more information about evaluation of the characteristic function, see Ansley, Kohn, and Shively (1992).
When regressors contain lagged dependent variables, the Durbin-Watson statistic () for the first-order autocorrelation is biased toward 2 and has reduced power. Wallis (1972) shows that the bias in the Durbin-Watson statistic (
) for the fourth-order autocorrelation is smaller than the bias in
in the presence of a first-order lagged dependent variable. Durbin (1970) proposes two alternative statistics (Durbin h and t) that are asymptotically equivalent. The h statistic is written as
where and
is the least squares variance estimate for the coefficient of the lagged dependent variable. Durbin’s t test consists of regressing the OLS residuals
on explanatory variables and
and testing the significance of the estimate for coefficient of
.
Inder (1984) shows that the Durbin-Watson test for the absence of first-order autocorrelation is generally more powerful than the h test in finite samples. For information about the Durbin-Watson test in the presence of lagged dependent variables, see Inder (1986) and King and Wu (1991).
The GODFREY= option in the MODEL statement produces the Godfrey Lagrange multiplier test for serially correlated residuals for each equation (Godfrey 1978b, 1978a). r is the maximum autoregressive order, and specifies that Godfrey’s tests be computed for lags 1 through r. The default number of lags is four.
Ramsey’s reset test is a misspecification test associated with the functional form of models to check whether power transforms need to be added to a model. The original linear model, henceforth called the restricted model, is
To test for misspecification in the functional form, the unrestricted model is
where is the predicted value from the linear model and p is the power of
in the unrestricted model equation starting from 2. The number of higher-ordered terms to be chosen depends on the discretion of the analyst. The RESET option produces test results for
2, 3, and 4.
The reset test is an F statistic for testing , for all
, against
for at least one
in the unrestricted model and is computed as
where is the sum of squared errors due to the restricted model,
is the sum of squared errors due to the unrestricted model, n is the total number of observations, and k is the number of parameters in the original linear model.
Ramsey’s test can be viewed as a linearity test that checks whether any nonlinear transformation of the specified independent variables has been omitted, but it need not help in identifying a new relevant variable other than those already specified in the current model.
For nonlinear time series models, the portmanteau test statistic based on squared residuals is used to test for independence of the series (McLeod and Li 1983),
where
This Q statistic is used to test the nonlinear effects (for example, GARCH effects) present in the residuals. The GARCH process can be considered as an ARMA
process. See the section Predicting the Conditional Variance. Therefore, the Q statistic calculated from the squared residuals can be used to identify the order of the GARCH process.
Engle (1982) proposed a Lagrange multiplier test for ARCH disturbances. The test statistic is asymptotically equivalent to the test used by Breusch and Pagan (1979). Engle’s Lagrange multiplier test for the qth order ARCH process is written
where
and
The presample values ( , …,
) have been set to 0. Note that the LM
tests might have different finite-sample properties depending on the presample values, though they are asymptotically equivalent regardless of the presample values.
Engle’s Lagrange multiplier test for ARCH disturbances is a two-sided test; that is, it ignores the inequality constraints for the coefficients in ARCH models. Lee and King (1993) propose a one-sided test and prove that the test is locally most mean powerful. Let , denote the residuals to be tested. Lee and King’s test checks
where are in the following ARCH(q) model:
The statistic is written as
Wong and Li (1995) propose a rank portmanteau statistic to minimize the effect of the existence of outliers in the test for ARCH disturbances. They first rank the squared residuals; that is, . Then they calculate the rank portmanteau statistic
where ,
, and
are defined as follows:
The Q, Engle’s LM, Lee and King’s, and Wong and Li’s statistics are computed from the OLS residuals, or residuals if the NLAG= option is specified, assuming that disturbances are white noise. The Q, Engle’s LM, and Wong and Li’s statistics have an approximate distribution under the white-noise null hypothesis, while the Lee and King’s statistic has a standard normal distribution under the white-noise null hypothesis.
Consider the linear regression model
where the parameter vector contains k elements.
Split the observations for this model into two subsets at the break point specified by the CHOW= option, so that
Now consider the two linear regressions for the two subsets of the data modeled separately,
where the number of observations from the first set is and the number of observations from the second set is
.
The Chow test statistic is used to test the null hypothesis conditional on the same error variance
. The Chow test is computed using three sums of square errors,
where is the regression residual vector from the full set model,
is the regression residual vector from the first set model, and
is the regression residual vector from the second set model. Under the null hypothesis, the Chow test statistic has an F distribution with
and
degrees of freedom, where
is the number of elements in
.
Chow (1960) suggested another test statistic that tests the hypothesis that the mean of prediction errors is 0. The predictive Chow test can also be used when .
The PCHOW= option computes the predictive Chow test statistic
The predictive Chow test has an F distribution with and
degrees of freedom.
Bai and Perron (1998) propose several kinds of multiple structural change tests: (1) the test of no break versus a fixed number of breaks ( test), (2) the equal and unequal weighted versions of double maximum tests of no break versus an unknown number of breaks given some upper bound (
test and
test), and (3) the test of l versus
breaks (
test). Bai and Perron (2003a, 2003b, 2006) also show how to implement these tests, the commonly used critical values, and the simulation analysis on these tests.
Consider the following partial structural change model with m breaks ( regimes):
Here, is the dependent variable observed at time t,
is a vector of covariates with coefficients
unchanged over time, and
is a vector of covariates with coefficients
at regime j,
. If
(that is, there are no x regressors), the regression model becomes the pure structural change model. The indices
(that is, the break dates or break points) are unknown, and the convenient notation
and
applies. For any given m-partition
, the associated least squares estimates of
and
are obtained by minimizing the sum of squared residuals (SSR),
Let denote the minimized SSR for a given
. The estimated break dates
are such that
where the minimization is taken over all partitions such that
. Bai and Perron (2003a) propose an efficient algorithm, based on the principle of dynamic programming, to estimate the preceding model.
In the case that the data are nontrending, as stated in Bai and Perron (1998), the limiting distribution of the break dates is
where
and
Also, and
are independent standard Weiner processes that are defined on
, starting at the origin when
; these processes are also independent across i. The cumulative distribution function of
is shown in Bai (1997). Hence, with the estimates of
,
, and
, the relevant critical values for confidence interval of break dates
can be calculated. The estimate of
is
. The estimate of
is either
if the regressors are assumed to have heterogeneous distributions across regimes (that is, the HQ option is specified), or
if the regressors are assumed to have identical distributions across regimes (that is, the HQ option is not specified). The estimate of can also be constructed with data over regime i only or the whole sample, depending on whether the vectors
are heterogeneously distributed across regimes (that is, the HO option is specified). If the HAC option is specified,
is estimated through the heteroscedasticity- and autocorrelation-consistent (HAC) covariance matrix estimator applied to vectors
.
The test of no structural break
versus the alternative hypothesis that there are a fixed number,
, of breaks is defined as
where
and is the
identity matrix;
is the coefficient vector
, which together with the break dates
minimizes the global sum of squared residuals; and
is an estimate of the variance-covariance matrix of
, which could be estimated by using the HAC estimator or another way, depending on how the HAC, HR, and HE options are specified. The output
test statistics are scaled by q, the number of regressors, to be consistent with the limiting distribution; Bai and Perron (2003b, 2006) take the same action.
There are two versions of double maximum tests of no break against an unknown number of breaks given some upper bound M: the test,
where is the significance level and
is the critical value of
test given the significance level
. Four kinds of
tests that correspond to
, and 0.010 are implemented.
The test of l versus
breaks is calculated in two ways that are asymptotically the same. In the first calculation, the method amounts to the application of
tests of the null hypothesis of no structural change versus the alternative hypothesis of a single change. The test is applied to each segment that contains the observations
to
. The
test statistics are the maximum of these
test statistics. In the second calculation, for the given l breaks
, the new break
is to minimize the global SSR:
Then,
The p-value of each test is based on the simulation of the limiting distribution of that test.