Adopting the notations of Savu and Trede (2010), let L denote the total level of hierarchies and let D denote the dimension of the HAC. There are distinct copulas at each level
. These copulas are indexed by
. At each level, there are also
variables,
and
. In the first step, all the variables at the lowest level are grouped into
subsets, each subset being an ordinary multivariate Archimedean copula
where is the generator of copula
,
denotes the variables that belong to copula
, and the sum
is the sum over each variable in the subset
. The copulas
can be different Archimedean copulas for
. Then at the second level, the copulas
that are derived in the first level are aggregated as if they are individual variables. Suppose there are
copulas and
variables,
where denotes the generator of
and
represents the subset of copulas in
, that is aggregated for copula
for
. This structure continues until at level
a single copula
aggregates all the copulas at its previous level,
.
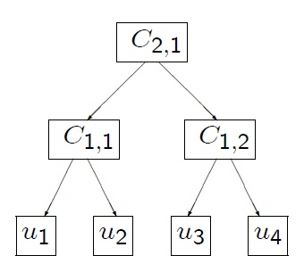
A four-dimensional example that has total levels and a structure shown in FigureĀ 5 is defined as follows:
Figure 5: Example Four-Dimensional Hierarchical Structure with Two Levels

Theorem 4.4 of McNeil (2008) states that the sufficient condition for a general hierarchical Archimedean structure to be a proper copula is that all appearing nodes of the form have completely monotone derivatives. This condition places certain constraints on the copula parameters. In particular, if all the copulas in a hierarchical structure come from the Frank, Clayton, or Gumbel family, then
for all j when
. Intuitively, this means that rank correlation must be increasing as you move down the hierarchical structure.
The hierarchical Archimedean copulas available in the COPULA procedure are the hierarchical versions of the Clayton, Frank, and Gumbel copulas.
A slightly modified version of the recursive algorithm from McNeil (2008) works for all valid hierarchical structures that have Clayton, Frank, or Gumbel generators:
Let be the outer generator and
the nested generator, and let
and
be the respective generator parameters. Let v be a draw from distribution function F with Laplace transform
. The inner copula generators
and their corresponding Laplace transform distributions for the Clayton, Frank, and Gumbel family are summarized in Table 3.
Table 3: Inner Generators and Corresponding Distributions
Note that when , the inner generators for the Clayton and Gumbel family both simplify to the generator of the independence copula,
. For more information about simulating from the distribution with the Laplace transform given by the inner generator for the Frank family, see Hofert (2011). For more information about how to simulate from a tilted stable distribution, see McNeil (2008).